Fructooligosaccharide photograph

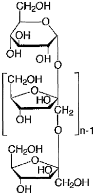
Fructooligosaccharide

Use attributes for filter !
Date of Reg.
Date of Upd.
ID4045245
Send edit request

About Fructooligosaccharide


Fructooligosaccharides also sometimes called oligofructose or oligofructan, are oligosaccharide fructans, used as an alternative sweetener. FOS exhibits sweetness levels between 30 and 50 percent of sugar in commercially prepared syrups.

Fructooligosaccharide Photos

Next Profile ❯