Flavones photograph

Flavones

Use attributes for filter !
Date of Reg.
Date of Upd.
ID2141449
Send edit request

About Flavones


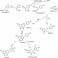
Flavones, are a class of flavonoids based on the backbone of 2-phenylchromen-4-one. Flavones are common in the food supply, mainly from spices, and red–purple fruits and vegetables. Common flavones include apigenin, luteolin, tangeritin, chrysin, and 6-hydroxyflavone.

Flavones Photos

Related Persons

Next Profile ❯