Home
People
People on the agenda
New added biographies
Most Read biographies
Born today People
Died today People
Advanced Search
Contact
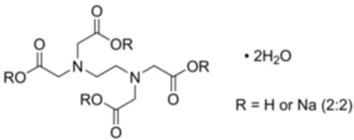
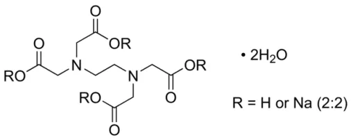
Edetate Disodium
Chemical compound
Share This Page
Use attributes for filter !
Molar mass
336. 21 g/mol
ChemSpider ID
8429
Molecular Formula
C10H14N2Na2O8
PubChem CID
8759
Synonyms
Edetate disodiumEDTA disodium salt139-33-3Disodium edetateTitriplex IIIMore. . .
Date of Reg.
2020-04-17 04:52:36
Date of Upd.
2021-11-25 21:24:34
ID
3053903
Send edit request
Related searches
edetate disodium in eye drops
edetate disodium usp
disodium edetate use in pharmaceutical
edetate disodium in suppositories
disodium edetate wikipedia
edta disodium salt
draw the structure of edta
calcium disodium edta
Life Story
News
Comments
News Detail
About Edetate Disodium
Edetate disodium Photos
Related Persons
Butylated hydroxyanisole
Chemical compound
Potassium sodium tartrate
Sodium tartrate
Polyacrylic acid
Next Profile ❯