Dioxolane photograph

Dioxolane

Use attributes for filter !
Molar mass74. 08 g/mol
Boiling point75 °C
Density1. 06 g/cm³
FormulaC3H6O2
ChemSpider ID121835
PubChem CID12586
Date of Reg.
Date of Upd.
ID2372302
Send edit request

About Dioxolane


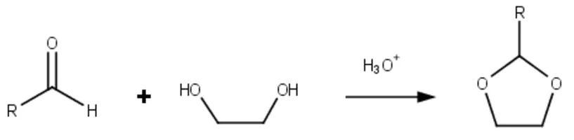
Dioxolane is a heterocyclic acetal with the chemical formula (CH₂)₂O₂CH₂. It is related to tetrahydrofuran by interchange of one oxygen for a CH₂ group. The corresponding saturated 6-membered C₄O₂ rings are called dioxanes. The isomeric 1,2-dioxolane is a peroxide.

Dioxolane Photos

Related Persons

Next Profile ❯