Diimide photograph

Diimide

Use attributes for filter !
Molar mass30. 030 g·mol−1
Chemical formulaH2N2
Melting point−80 °C (−112 °F; 193 K)
Other anionsdiphosphene
dinitrogen difluoride
AppearanceYellow gas
Related Binary azanes ammonia
triazane
Date of Reg.
Date of Upd.
ID2413303
Send edit request

About Diimide


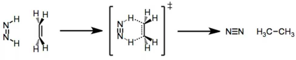
Diimide, also called diazene or diimine, is a compound having the formula (NH)₂. It exists as two geometric isomers, E and Z. The term diazene is more common for organic derivatives of diimide. Thus, azobenzene is an example of an organic diazene.

Diimide Photos

Related Persons

Next Profile ❯