Cyanoacetic acid photograph

Cyanoacetic Acid

Use attributes for filter !
FormulaC3H3NO2
Molar mass85. 06 g/mol
Boiling point108 °C
Density1. 287 g/cm³
Classification Organic compound
Appearancecolorless solid
Date of Reg.
Date of Upd.
ID1997209
Send edit request

About Cyanoacetic Acid


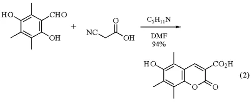
Cyanoacetic acid is an organic compound. It is a white, hygroscopic solid. The compound contains two functional groups, a nitrile NC and a carboxylic acid. It is a precursor to cyanoacrylates, components of adhesives.

Cyanoacetic acid Photos

Related Persons

Next Profile ❯