Cyanazine photograph

Cyanazine

Use attributes for filter !
FormulaC9H13ClN6
ChemSpider ID28552
UN number2811, 2763
Melting point168 °C (334 °F; 441 K)
AppearanceWhite crystals
Date of Reg.
Date of Upd.
ID2193101
Send edit request

About Cyanazine


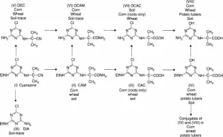
Cynazine is a herbicide that belongs to the group of triazines. Cyanazine inhibits photosynthesis and is therefore used as a herbicide.

Cyanazine Photos

Related Persons

Next Profile ❯