Citronellol photograph

Citronellol

Use attributes for filter !
FormulaC10H20O
Molar mass156. 27 g/mol
Boiling point225 °C
Density855 kg/m³
Viscosity11. 1 mPa s
Beilstein Reference1362474
Date of Reg.
Date of Upd.
ID1130231
Send edit request

About Citronellol


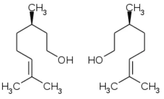
Citronellol, or dihydrogeraniol, is a natural acyclic monoterpenoid. Both enantiomers occur in nature. -Citronellol, which is found in citronella oils, including Cymbopogon nardus, is the more common isomer. -Citronellol is found in the oils of rose and Pelargonium geraniums.

Citronellol Photos

Related Persons

Next Profile ❯