Home
People
People on the agenda
New added biographies
Most Read biographies
Born today People
Died today People
Advanced Search
Contact
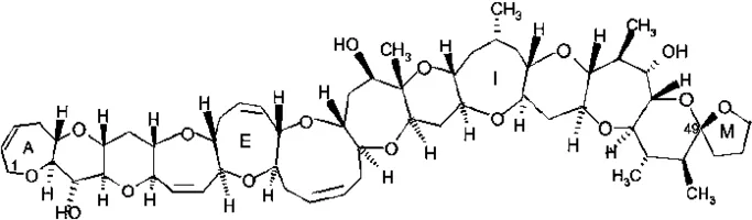
Ciguatoxin
Chemical compound
Share This Page
Use attributes for filter !
ChemSpider ID
4470834
Date of Reg.
2020-01-14 03:10:19
Date of Upd.
2023-02-25 11:44:39
ID
2417869
Send edit request
Life Story
News
Comments
News Detail
About Ciguatoxin
Ciguatoxin Photos
Related Persons
Strychnine
Musical group
Palytoxin
Chemical compound
Batrachotoxin
Chemical compound
Muscarine
Chemical compound
alpha-Amanitin
Saxitoxin
Next Profile ❯