Carbonic anhydrase photograph

Carbonic Anhydrase

Use attributes for filter !
ClassificationEnzyme
Date of Reg.
Date of Upd.
ID2427402
Send edit request

About Carbonic Anhydrase


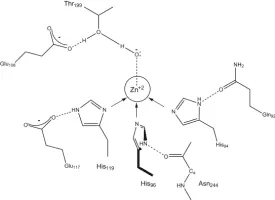
The carbonic anhydrases form a family of enzymes that catalyze the interconversion between carbon dioxide and water and the dissociated ions of carbonic acid. The active site of most carbonic anhydrases contains a zinc ion. They are therefore classified as metalloenzymes.

Carbonic anhydrase Photos

Related Persons

Next Profile ❯