Arachidonic acid photograph

Arachidonic Acid

Use attributes for filter !
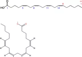
FormulaC20H32O2
Melting point-49 °C
IUPAC ID(5Z,8Z,11Z,14Z)-5,8,11,14-Eicosatetraenoic acid
Molar mass304. 4669 g/mol
Soluble in Ethanol
ClassificationOmega-6 fatty acid, Eicosanoid Precursor
Date of Reg.
Date of Upd.
ID911473
Send edit request

About Arachidonic Acid


Arachidonic acid is a polyunsaturated omega-6 fatty acid 20:4, or 20:4. It is structurally related to the saturated arachidic acid found in cupuaçu butter.

Arachidonic acid Photos

Related Persons

Next Profile ❯