APL photograph

APL

Use attributes for filter !
Typing discipline Dynamic
Designed by Kenneth E. Iverson
Stable releaseISO/IEC
February 1, 2001
First appearedNovember 27, 1966; 53 years ago
Licenseopen source
Date of Reg.
Date of Upd.
ID2202634
Send edit request

About APL


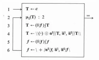
APL is a programming language developed in the 1960s by Kenneth E. Iverson. Its central datatype is the multidimensional array. It uses a large range of special graphic symbols to represent most functions and operators, leading to very concise code.

APL Photos

Related Persons

Next Profile ❯