Antiderivative photograph

Antiderivative

Use attributes for filter !
Date of Reg.
Date of Upd.
ID1171286
Send edit request

About Antiderivative


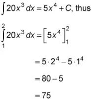
In calculus, an antiderivative, primitive function, primitive integral or indefinite integral of a function f is a differentiable function F whose derivative is equal to the original function f. This can be stated symbolically as.

Antiderivative Photos

Related Persons

Next Profile ❯