Allyl alcohol photograph

Allyl Alcohol

Use attributes for filter !
FormulaC3H6O
Boiling point97 °C
Density854 kg/m³
Molar mass58. 08 g/mol
ChemSpider ID13872989
Classification Organic compound
Date of Reg.
Date of Upd.
ID1212696
Send edit request

About Allyl Alcohol


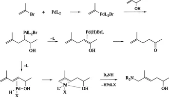
Allyl alcohol is an organic compound with the structural formula CH₂=CHCH₂OH. Like many alcohols, it is a water-soluble, colourless liquid. It is more toxic than typical small alcohols.

Allyl alcohol Photos

Related Persons

Next Profile ❯