Alliin photograph

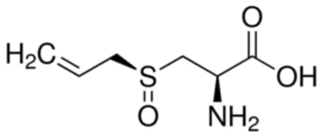
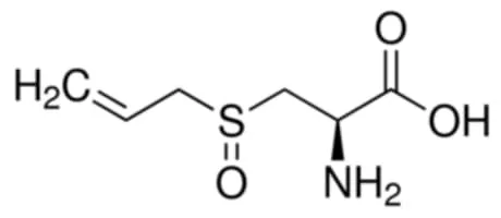
Alliin

Use attributes for filter !
FormulaC6H11NO3S
Molar mass177. 22 g/mol
ChemSpider ID7850537
AppearanceWhite to off white crystalline powder
PubChem CID9576089
Solubility in waterSoluble
Date of Reg.
Date of Upd.
ID2345477
Send edit request

About Alliin


Alliin is a sulfoxide that is a natural constituent of fresh garlic. It is a derivative of the amino acid cysteine. When fresh garlic is chopped or crushed, the enzyme alliinase converts alliin into allicin, which is responsible for the aroma of fresh garlic.

Alliin Photos

Related Persons

Next Profile ❯