Acyl halide photograph

Acyl Halide

Use attributes for filter !
Date of Reg.
Date of Upd.
ID1277858
Send edit request

About Acyl Halide


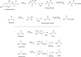
An acyl halide is a chemical compound derived from an oxoacid by replacing a hydroxyl group with a halide group. If the acid is a carboxylic acid, the compound contains a –COX functional group, which consists of a carbonyl group singly bonded to a halogen atom.

Acyl halide Photos

Related Persons

Next Profile ❯