Acridine photograph

Acridine

Use attributes for filter !
FormulaC17H19N3
Molar mass179. 13 g/mol
Melting point107 °C
Boiling point346 °C
ChemSpider ID8860
Classification Organic compound
Date of Reg.
Date of Upd.
ID2454931
Send edit request

About Acridine


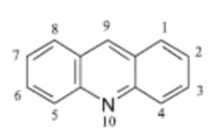
Acridine is an organic compound and a nitrogen heterocycle with the formula C₁₃H₉N. Acridines are substituted derivatives of the parent ring. It is a planar molecule that is structurally related to anthracene with one of the central CH groups replaced by nitrogen.

Acridine Photos

Related Persons

Next Profile ❯