2-Arachidonoylglycerol photograph

2-Arachidonoylglycerol

Use attributes for filter !
Molar mass378. 3 g/mol
FormulaC23H38O4
ChemSpider ID4445451
PubChem CID5282280
Date of Reg.
Date of Upd.
ID2376006
Send edit request

About 2-Arachidonoylglycerol


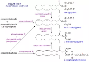
2-Arachidonoylglycerol is an endocannabinoid, an endogenous agonist of the CB₁ receptor and the primary endogenous ligand for the CB2 receptor. It is an ester formed from the omega-6 fatty acid arachidonic acid and glycerol.

2-Arachidonoylglycerol Photos

Related Persons

Next Profile ❯